ARTIGO TÉCNICO

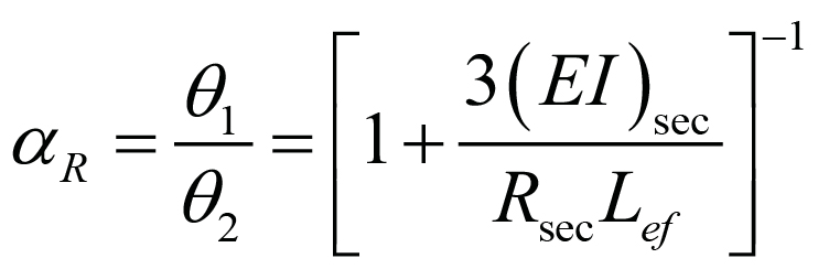
A norma ABNT NBR 9062:2017 (ABNT, 2017) estabelece que a capacidade resistente da estrutura deve ser definida pela resistência dos elementos estruturais, e não das ligações. A classificação das ligações é feita com base no fator de restrição à rotação (αr), onde as ligações semirrígidas estão no intervalo 0,15 ≤ αR < 0,85.
Ferreira et al. (2005) apresentaram simulações da análise de 2ª ordem para estruturas pré-moldadas com ligações semirrígidas, analisando o efeito da variação do fator de restrição (αR) na deslocabilidade lateral. Para estruturas com três pavimentos a estabilidade foi atingida para αR ≥ 0,40 (engastamento parcial de 50%), para estruturas com cinco pavimentos a estabilidade foi atingida para αR ≥ 0,50 (engastamento parcial de 60%) e para estruturas com sete pavimentos a estabilidade foi atingida para valores de αR ≥ 0,67 (engastamento parcial acima de 75%). Marin & El Debs (2009) também analisaram o limite do número de pavimentos em estruturas usuais de múltiplos pavimentos em concreto pré-moldado.
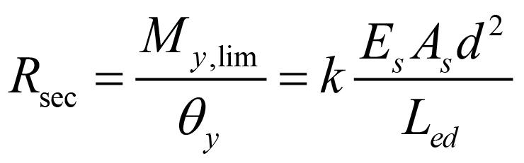
Para o caso de ligações viga-pilar típicas de seção composta com solidarização no local, com continuidade da armadura negativa por meio de bainhas corrugadas embutidas no pilar preenchidas com graute ou por meio acoplamento da armadura longitudinal por rosqueamento em luvas ancoradas no pilar, as rotações efetivas nas ligações são decorrentes de mecanismos de deformação que ocorrem tanto na interface viga-pilar quanto na zona de transição na extremidade da viga, denominada região da ligação, compreendendo o trecho entre a face do pilar até o centro de giro no apoio da viga. Considerando o limite do valor da tensão na armadura de continuidade igual a 0,9∙fyk, conforme critério de projeto em 5.2.1.9 na norma ABNT NBR 9062 (ABNT, 2017), a rigidez secante para a relação momento-rotação pode ser calculada pela Equação , que depende da armadura de continuidade negativa (As) e de dois parâmetros empíricos, o coeficiente de ajustamento da rigidez secante (k) e o comprimento efetivo de deformação por alongamento da armadura de continuidade (Led).

A Equação foi parametrizada na norma ABNT NBR 9062:2017 para seis tipologias de ligações viga-pilar típicas (soldadas, grauteadas e parafusadas), com barras de continuidade embutidas em bainhas grauteadas no pilar ou com continuidade por meio de luvas rosqueadas, como mostrado na Figura 1.

A equação simplificada da rigidez secante (Rsec) foi obtida de modelos analíticos desenvolvidos em Ferreira, Elliot e Hasan (2010) para ligações viga-pilar típicas de seção composta com solidarização no local. Para o caso das ligações com continuidade por meio de armadura passando em bainha grauteada no pilar (Tipologias I e II), o coeficiente (k) e o comprimento efetivo de deformação (Led) foram calibrados com base em ensaios de ligações típicas em escala real (Hadade, 2016). Para o caso das ligações com continuidade negativa por meio de luvas rosqueadas (Tipologia III, V e VI) os parâmetros foram adotados considerando possíveis escorregamentos dado a diminuição da rugosidade nas superfícies externas das luvas rosqueadas. Já no caso da Tipologia IV a Comissão de Norma decidiu adotar a mesma como rígida.
Entretanto, a rigidez secante negativa depende diretamente do mecanismo de deformação das armaduras de continuidade negativa. Posteriormente, na pesquisa de Barros (2018), ficou comprovado que a rigidez da Tipologia IV apresenta comportamento semirrígido que se aproxima dos parâmetros indicados na NBR 9062 (ABNT, 2017) para as demais tipologias que empregam barras com luvas rosqueadas.
Neste contexto, o presente artigo apresenta recomendações de projeto para estruturas pré-moldadas com ligações semirrígidas, aplicando os critérios da ABNT NBR 9062:2017. O estudo foca na verificação da estabilidade global (usando o parâmetro γz) e demonstra como softwares de análise (ATIR Strap®) podem ser usados para a modelagem correta, avaliação do comportamento global e determinação dos esforços, provendo um caminho seguro para o projetista.